OA系统企业邮箱
中文EN

产品中心

防串色剂HD-56K

防串色剂HD-56K

主要组分

C.I. No: --

CAS号: 29297-55-0

分子量: 70000

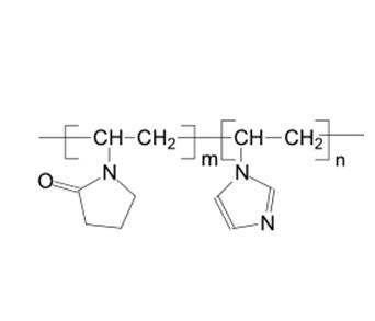
分子式: [C6H9NO]m[C5H6N2]n

产品类型: 聚合物

理化指标

外观

黄色透明液体 

pH值(1%溶液

79

固含量 %

2931

离子性

弱阳离子

产品特性

1.高性能防污皂洗剂,即使在低温、高电导率、高硬水的环境中,也具有高效节能的皂洗能力;

2.有效分散水解染料,防止其再次沉积在织物上,提高色牢度;

3.HD-56K提供了一种可持续的环境解决方案,可以节能、节时和节水,并由此来减少碳排放;

4.高用量条件下,HD-56K可作为活性染料的剥离剂。

用途

适用于添加到洗涤剂或其他产品中,特别是高浓洗衣液,防止织物皂洗时染色,提高色牢度。

使用方法

根据不同应用情况,推荐剂量如下:0.2-10%。

包装、运输及贮存

1、包装50或125的塑桶,或者吨桶;

2、本产品为非危化学品,性能稳定,可用于任何运输方式;

3、在室温下,储存一年。

注意事项

1、本产品资料仅供参考、研究和鉴定,本公司并不承担由此所引起的责任和专利纠纷。

2、如您有任何技术或使用问题,请及时与我公司联系。