OAMail
中文EN

Products

Anti-Staining Agent HD-56K

Anti-Staining Agent HD-56K

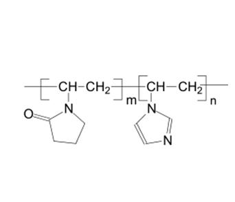
Main composition

CAS No: 29297-55-0

Molecular mass70000

Formula [C6H9NO]m[C5H6N2]n 

Type of productCopolymer

Technical index

Appearance:        Transparent yellowish liquid

pH Value(1% solution) 7~9

Solid content (%):      29~31

Ionic character:       Weak cationic

Performance and Features

1. High performance anti-staining soaping agent, even in low temperature, high electrolyte and high hardness of water environment, but also has high efficiency and energy-saving soaping capacity.

2. Disperse hydrolyze dye efficiently and prevent it from depositing on the fabric again, improve the color fastness.

3. HD-56K offers a sustainable environmental solution that saves energy, time and water and reduces carbon emissions by reducing washing times and temperatures.

4. Can be used as stripping agent of reactive dyes by HD-56Kwith high dosage.

Application

Suitable for addition to laundry detergents or other products prevent staining when soaping fabric and improve the color fastness.

Method of use

Depending on the demand effect and the different products, the recommended dosage is as follows: 0.2~10.0%.

Transport, storage and packing

1. 50/125/1000kgs per plastic buckets.

2. The product is non-hazardous, chemical properties stability, be used in any mode of transport.

3. At room temperature, storage for one year.

Notes

1. The product information is only for reference, research and identification. We will not bear the responsibility or the patent dispute.

2. If you have any questions in technical or use, please contact with us in time.