OAMail
中文EN

Products

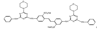
Optical Brightening Agent CXT

  Main composition  



C.I. No:

71

CAS. No

16090-02-1

EINECS: 

240-245-2

Molecular Mass: 

924.91

Formula:

C40H38N12O8S2Na2



  Technical index  


Appearance

White or yellowish powder

Ionic Character:

Anionic

Whiteness:

±1.5 comparing with standard sample

Moisture Content:

≤ 5.0%

Odour:

Ammoniacal odour free or a little ammoniacal odour



  Performance and Features  

1. CXT is suitable for soap and washing powder, can increase the whiteness of the detergent;

2. Adding CXT to detergent powder before spray drying. CXT can homogenize with detergent powder through spray drying;

3. Using the detergent containing CXT can make the cloths cleaner and brighter.

The recommended dosage is 0.04~0.2% (% W/W Detergent).

Packaging and Storage

Packaging with 25kg bag, 25kg carton, 500kg bag or according to customer's request.

Shelf-life: 2 years, store under the room temperature, avoid sunlight and moisture.