OAMail
中文EN

Products

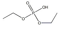
DIETHYL PHOSPHATE

  Chemical name  

Diethyl phosphite



  Structural formula  

 


Molecular formula:

C4H11O3P

Molecular weight: 

138.10

CAS number:  

762-04-9



  Application  

It is an intermediate for the preparation of organophosphorus compounds and also used as an extractant.